Pular para o conteúdo principal
Ciência

Físicos da UFU desenvolvem fórmula para simulação de circuitos nanométricos

Descoberta possibilitará o desenvolvimento de novos dispositivos eletrônicos quânticos

Publicado em 17/11/2017 às 15:04 - Atualizado em 09/06/2025 às 22:15

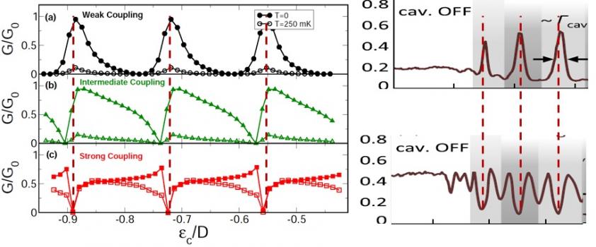
Resultados do modelo descoberto e reprodução qualitativa dos resultados experimentais. (Imagem: fisicafutebolfalacias.blogspot.com.br)

Os professores Edson Vernek e Gerson Ferreira, do Instituto de Física da Universidade Federal de Uberlândia (Infis/UFU), juntamente com os pesquisadores Luis Gregório Dias, da Universidade de São Paulo (USP), Caio Lewenkopf, da Universidade Federal Fluminense (UFF), e Sergio Ulloa, da Universidade de Ohio (EUA), publicaram recente artigo na revista Physical Review Letters sobre a obtenção de uma generalização de equações que até então só permitiam o cálculo de circuitos nanométricos com acoplamentos simétricos.

Diferente de um circuito comum, macroscópico, e de um interruptor de uma lâmpada, que liga e desliga, em sistemas nanométricos as escalas são milhões de vezes menores. Em um processador há cerca de 1 bilhão de transístores. “Cada transístor é como se fosse uma chavinha que abre e fecha, como do acendedor da lâmpada”, ressalta Vernek.

Nesse transporte nanométrico a matéria adquire um caráter quântico. O que é isso? “Em um interruptor comum você tem o contato mecânico. Mesmo sem contato mecânico entre os dois terminais você ainda pode ter a possibilidade de ter elétrons indo de um lado pro outro, é o chamado tunelamento eletrônico, efeito puramente quântico”, explica Vernek. Esse fenômeno acontece nos transístores que funcionam em qualquer dispositivo eletrônico como computadores e celulares, sendo fundamental para o funcionamento, utilização e controle destes.

Motivada por resultados de experimentos de transporte quânticos realizados no Instituto Federal Suíço de Tecnologia (ETH) e na Universidade de Grenoble, na França em 2015, a fórmula é um melhoramento de um outro sistema de cálculo desenvolvido há 25 anos, a fórmula de Meir-Wingreen. Essa fórmula permite o cálculo teórico da condutância elétrica (o inverso da resistência) através de circuitos regidos pelas leis da Mecânica Quântica. É utilizada para descrever a corrente elétrica e a condutância em sistemas mesoscópicos.

“Porém, com o avanço da nanotecnologia e de circuitos cada vez mais complexos e pequenos (milhares de vezes menores que a espessura do fio de cabelo), havia uma demanda crescente por equações capazes de ir além do caso de contatos simétricos”, afirma Mariana Odashima, professora do Instituto de Física. Foi o que os pesquisadores fizeram. “Então generalizamos a expressão, a gente consegue calcular a condutância da corrente mesmo que as matrizes não sejam idênticas. Não existia uma expressão para calcular, agora existe”, estabelece Vernek. Ainda é necessário que se construa um experimento a partir da fórmula para observar sua aplicabilidade.

Qual a vantagem disso? De acordo com Odashima, essa interação é muito complexa, pois envolve mecânica quântica de muitos elétrons interagentes, com possíveis aplicações em engenharia nanométrica, como arquiteturas de computação quântica e processamento de informação de múltiplos bits quânticos. O formalismo generalizado deste trabalho será importante para uma geração de físicos teóricos e experimentais através do mundo.

Para Vernek, o grande desafio é controlar o transístor de um único elétron. “Você reduz o número de elétrons que passam e também reduz o consumo e o tamanho. Esse é o futuro. O aparelho celular, por exemplo, pararia de aquecer e consumiria menos energia. É mais sustentável. Ganha em velocidade de processamento”, elucida Vernek.

Palavras-chave: circuitos nanométricos ufu

A11y